Site Prof. Bertolo

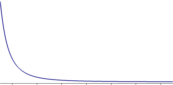
Entrar com o p-value (representado pela área azul no gráfico) ou a estatística de teste (a coordenada ao longo do eixo horizontal) abaixo para ter os outros valores calculados.

p-value:
F-value:

g.l. do numerador:
g.l. do denominador:



-3
-2
-1
0
1
2
3
p = 0.05
F = 1.96
Consultoria Bertolo